Austral Comunicación
ISSN (e) 2313-9137 ISSN (I)
2313-9129
Volumen 7, número 1- Junio de
2018
Rocío
Annunziata
rocio.annunziata@gmail.com
Consejo Nacional
de Investigaciones Científicas y Técnicas (CONICET).
Universidad
Nacional de San Martín. Escuela de Política y Gobierno.
Universidad de
Buenos Aires. Facultad de Ciencias Sociales.
Recibido: 21 de
octubre de 2017.
Aceptado: 26 de
abril de 2018.
DOI: https://doi.org/10.26422/aucom.2018.0701.ann
La presencia de
los políticos –candidatos o gobernantes- en el territorio resulta cada vez más
valorada en las democracias contemporáneas, y el presidente Mauricio Macri ha
buscado hacer de los llamados “timbreos” y visitas a ciudadanos comunes una
marca de su espacio político. Pero ¿es nueva la apelación a la presencia de los
políticos en el territorio? Y si no lo es, ¿a qué forma de la presencia
corresponden las visitas y timbreos contemporáneos? ¿Qué rasgos específicos les
imprime Mauricio Macri? El propósito de este artículo es responder a estos
interrogantes, analizando la especificidad de los timbreos y visitas de campaña
y de gobierno de Mauricio Macri, en el marco de la representación de
proximidad.
El análisis de
publicaciones en redes sociales, spots y videos
difundidos revelan que las visitas y timbreos de Mauricio Macri corresponden a
lo que puede concebirse como “presencias de proximidad”, es decir, aquellas
estructuradas en torno a la escucha del ciudadano común o la empatía respecto
de sus sufrimientos. Estas formas de la presencia predominan en la política
contemporánea, pero Mauricio Macri les imprime además un giro específico: en la
campaña, recurre a lo que se denominará “meta-visitas”, en las que el centro
del mensaje es la visita misma, y el acto de la escucha reemplaza a lo
escuchado; y, una vez en la presidencia, Macri no produce el pasaje esperable
hacia las “presencias de empatía”, sino que sigue recurriendo a la centralidad
de las “presencias de escucha”.
Palabras clave:
proximidad, representación, timbreos, visitas, Mauricio Macri.
The physical presence of
politicians – as candidates or elected officials – in the territory they seek
to represent is increasingly valued in contemporary democracies. Mauricio Macri has sought to transform doorbelling and canvassing,
making his encounters with ordinary citizens one of the trademarks of his
party. But is this appeal to presence and closeness new? If not, how do
modern-day canvassing and doorbelling fit in with other kinds of political
presences? And what specific features has Macri
injected into these practices? In this paper, we attempt to answer these
questions by analyzing the specificity of Macri’s
canvassing and doorbelling, whether in the campaign trail or in office. We will
do so within the framework of what we call the “representation of proximity.”
A review of social media posts,
promotional spots, and videos reveals that Macri’s
visits can be conceived as “presences of proximity,” structured around the act
of listening to common citizens and empathizing with their hardships. These
kinds of presences are predominant in contemporary politics, but Macri adds a special twist to them: during his campaign, he
resorted to what we call “meta-visits,” in which the message is the visit
itself. The act of listening replaces whatever is being heard. Once in office,
the expected passage towards “presences of empathy” never materialized and,
instead, “presences of listening” continue to occupy center stage.
Keywords:
proximity, representation, dorbelling, visits,
Mauricio Macri.
A presença de políticos -candidatos ou
governantes- no território
é cada vez mais valorizada nas
democracias contemporâneas, e Mauricio Macri procurou tornar os “porta a porta” e as visitas aos cidadãos comuns
uma marca de seu espaço político. Mas o apelo à presença de políticos no território
é novo? E se não é,
a que forma de presença correspondem
as visitas e os “porta a porta” contemporâneos?
Quais características específicas Mauricio Macri dá para essas práticas?
Neste artigo, propomos
responder a estas questões, analisando
a especificidade dos “porta a porta” e das visitas de
campanha e governo de
Mauricio Macri, no contexto da representação da proximidade.
A análise das publicações nas redes sociais, spots e vídeos revelam
que as visitas e os “porta a porta” de Mauricio Macri correspondem
ao que pode ser concebido como "presenças de proximidade", ou seja, aquelas
estruturadas em torno de escutar
o cidadão comum ou da empatia em relação aos seus
sofrimentos. Essas formas
de presença predominam na política contemporânea, mas Mauricio Macri também imprime
uma virada específica: na campanha, ele recorre a o que eu
chamo de "meta-visitas". Nesse tipo de
visitas, o centro da mensagem é a própria
visita e, o ato de escutar substitui
o que é escutado. Uma vez na presidência, Macri não produz a esperada passagem para "presenças de empatia", mas continua a
recorrer à centralidade das "presenças
de escuta".
Palavras chave: proximidade, representação,
“porta a porta”, visitas, Mauricio Macri.
La presencia de
los políticos –candidatos o gobernantes- en el territorio resulta cada vez más
valorada en las democracias contemporáneas (Rosanvallon,
2008; Le Bart, 2013); aparece de manera creciente como prueba de interés y
preocupación por lo que los ciudadanos viven cotidianamente, como evidencia de
una capacidad de escucha y de empatía de parte de los políticos, y como medio
legítimo para acceder al conocimiento de las situaciones singulares en las que
los ciudadanos se encuentran día a día. Las campañas electorales recurren por
eso a recorridas, desayunos, caminatas, visitas a los ciudadanos comunes en sus
barrios y en sus casas (Leroux, 2005); y luego difunden escenas de escucha y de
contacto directo con los ciudadanos elaboradas para los spots
publicitarios. Los gobernantes también se ven obligados a “estar ahí” cuando
ocurren hechos imprevistos, como tragedias o catástrofes. Ante acontecimientos
de este tipo, la ciudadanía y los medios de comunicación suelen preguntarse en
primer lugar “¿Dónde está el político X?”.
La valoración
contemporánea de la presencia de los líderes en el territorio se inscribe en
una transformación mayor de la representación política, que tiende a poner de
relieve la proximidad entre los representantes y los representados. Los
primeros deben presentarse como “personas comunes” en un contexto en el que la
desconfianza en “los políticos” es persistente. Las recorridas por los barrios
y las visitas a ciudadanos son parte de las estrategias de proximidad, como
también lo son otras formas de mostrarse “cercanos” que los líderes explotan:
dejar ver su propia intimidad, narrar la historia de los obstáculos por los que
han tenido que pasar en su vida, aprovechar el efecto de contacto directo que
producen las redes sociales, incluir a ciudadanos comunes y sus historias como
protagonistas de las campañas electorales, o difundir eslóganes de campaña del
tipo “Vótese. Yo soy usted” (Annunziata, 2012, 2015).
Esta significación
de la presencia en el territorio ha ido en aumento en la Argentina durante los
últimos años y no hay político que no incorpore en su discurso el relato de una
recorrida, de una visita a una casa, a un comercio, de una merienda con
ciudadanos comunes. Pero ha llamado la atención particularmente con la
importancia que les ha dado el presidente en ejercicio de la República
Argentina, Mauricio Macri, y su fuerza política, Propuesta Republicana
(PRO)-Cambiemos, a los denominados “timbreos”. En efecto, la campaña
presidencial de Mauricio Macri en 2015 estuvo estructurada en torno a las
visitas a los ciudadanos en sus casas; y, una vez en el gobierno, se han
organizado nuevos “timbreos nacionales” para “recuperar el espíritu de
campaña”.
Los timbreos
tenían ya una larga historia en el espacio político del actual presidente; la
victoria electoral de Mauricio Macri en la Ciudad de Buenos Aires en 2007 se
adjudicaba en parte a esta estrategia de campaña (Fioriti,
3/4/2014). Para las presidenciales de 2015, la fórmula exitosa de la ciudad de
Buenos Aires se replicó en todo el país, como parte de un programa en el que se
buscaba resaltar la autenticidad de los contactos con los ciudadanos y la idea
del “mano a mano” (Iglesias Illa, 2016). Por un lado, se invitó a los
“voluntarios” de todo el territorio a salir a hacer timbreos con la ayuda de
una guía para conversar con sus vecinos (Cambiemos difunde una “Guía para
visitar vecinos”, 18 de octubre de 2015). También los candidatos locales de los
diferentes distritos salieron a tocar timbres en el marco de sus actividades de
campaña y como parte de jornadas nacionales en las que los dirigentes de
PRO-Cambiemos recorrían en simultáneo distintos puntos del país desde mayo de
2015. El entonces candidato a presidente Mauricio Macri participó personalmente
en timbreos con una frecuencia de entre seis y siete salidas mensuales en los
momentos más intensos de la campaña. Una vez electo, ya en 2016, se retomarían
estas actividades, con nueve timbreos nacionales durante el primer año de
gobierno de Mauricio Macri. Por otro lado, se organizaron visitas a ciudadanos
comunes en sus casas, visitas pautadas previamente en el marco de los
desplazamientos de Mauricio Macri, tanto durante la campaña como durante el
ejercicio de la presidencia. Mientras que los timbreos se produjeron de manera
espontánea en distintas casas del territorio seleccionado, las visitas se
acordaban previamente: se anunciaba que el candidato -y más tarde el Presidente- estaría visitando una localidad y quienes
estaban interesados en recibirlo podían enviar un mensaje por medio de las
redes sociales para invitarlo a su casa.
En ambos tipos de
contacto “mano a mano” o “uno a uno” con los ciudadanos, los medios de
comunicación no son informados previamente, con el objetivo de reducir al
mínimo el equipo que acompaña a los dirigentes en las recorridas. Como relata
Iglesias Illa (2016) sobre la campaña electoral, estos contactos debían
producirse sin prensa y ser registrados con un solo fotógrafo propio del equipo
de Mauricio Macri. Claro que los timbreos y las visitas existen en la medida en
que pueden ser comunicados, en que se transforman en un spot
o video, principalmente, en las redes sociales. Estas formas de la presencia de
los políticos en el territorio, que se han hecho tan habituales en estos días y
que el propio Presidente de la Nación ha aspirado a
volver una marca distintiva de su espacio político, conjugan indefectiblemente
el “cara a cara” con la difusión que permiten los medios digitales.
Pero la apelación
a la presencia de los políticos en el territorio no parece ser en sí misma una
novedad. ¿A qué forma de la presencia corresponden entonces las visitas y
timbreos contemporáneos? ¿Y qué rasgos específicos les imprime Mauricio Macri?
En este trabajo nos proponemos responder a estos interrogantes, analizando la
especificidad de los timbreos de campaña y de gobierno de Mauricio Macri, en el
marco de la representación de proximidad.
En el próximo
apartado, se detallan los aspectos metodológicos que sustentan esta
investigación. Luego, se definen las transformaciones de la representación
política como tendencia hacia lo que se denomina “representación de
proximidad”. Le sigue una propuesta de tipología de las formas de la presencia
de los políticos en el territorio para subrayar cuáles son las formas de la
presencia que predominan actualmente y a las que corresponden los timbreos y
las visitas. Se analiza el rol de los timbreos en la campaña presidencial de
Mauricio Macri en 2015 y en su primer año de gobierno. Finalmente, la
conclusión destaca los rasgos que distinguen las formas de la presencia de
Mauricio Macri y formula nuevas preguntas para futuras investigaciones.
La estrategia
metodológica de esta investigación se estructuró en dos momentos. En un primer
momento, se realizó un trabajo teórico de construcción de una tipología
descriptiva (Collier, Laporte y Seawrigth,
2008; Goertz y Mahoney, 2012) de las formas de la
presencia de los políticos en el territorio. Este primer momento, deductivo,
respondió a la necesidad de identificar la novedad en las formas contemporáneas
de presencia de los políticos en el territorio. Como se detalla más adelante,
la tipología contribuye a mostrar que los políticos siempre apelaron a recorrer
el territorio y a hacerse presentes, pero en la actualidad son determinadas
formas de la presencia las que predominan: aquellas que corresponden a la
“representación de proximidad”.
En un segundo
momento, la estrategia metodológica se orientó a analizar la especificidad del
caso de Mauricio Macri, a partir de los registros de sus timbreos y visitas difundidos en spots, videos
y publicaciones en medios digitales. Para esta exploración, optamos por
observar el modo como estas visitas a ciudadanos comunes son presentadas en las
redes sociales porque consideramos que su relevancia contemporánea está dada
por la visibilidad y la difusión (Annunziata, 2015).
La investigación
realizada adoptó entonces una metodología cualitativa, con un enfoque de
etnografía digital (Postill y Pink, 2012) basada en
el análisis de contenido de los spots de campaña de
PRO-Cambiemos, de los videos publicados en el canal de YouTube oficial de Mauricio
Macri y de las publicaciones de la cuenta oficial de Mauricio Macri en
Facebook. Se confeccionó un archivo de las publicaciones de un usuario
preseleccionado (Jungherr, 2016) por medio de
capturas de pantalla y luego se realizó un análisis de contenido manual
(Graham, Jackson y Broersma, 2017). El rango elegido
para la confección del archivo fue entre enero de 2015 y diciembre de 2016.
Este segundo
momento, inductivo, permitió notar los matices y los giros propios del recurso
a la presencia en el territorio de un líder en particular, Mauricio Macri, y
elaborar así nuevos conceptos para dar cuenta del modo como este dirigente
traduce específicamente un fenómeno más general.
La representación
política ha combinado desde sus orígenes los principios de distinción
(distancia y diferenciación con respecto a los representados) y de identidad
(proximidad y semejanza con respecto a los representados) (Manin,
1998; Rosanvallon, 2008); no obstante, pareciera que
hoy en día el segundo principio tiende a prevalecer en lo que los líderes
políticos quieren mostrar de sí mismos y en la forma como construyen el lazo
representativo.
Hemos definido
esta tendencia general, transpartidaria, transideológica y presente en diversos contextos nacionales
y escalas de representación, como representación de
proximidad (Annunziata, 2012). Uno de los primeros e insoslayables
trabajos sobre este fenómeno contemporáneo ha sido el de Pierre Rosanvallon (2008). Estudiando cómo ha cambiado la
legitimidad democrática y cuáles son las nuevas figuras que adquiere en el
presente, el autor encuentra lo que llama “legitimidad de proximidad”, que se
corresponde con una forma de concebir la generalidad social mediante la
atención a las particularidades. La proximidad supone para Rosanvallon
una inmersión radical en el mundo de la particularidad, una preocupación por
los individuos concretos, una extensión del campo de atención, o, como el autor
califica ingeniosamente, un “descenso en generalidad” (Rosanvallon,
2008, p. 300). Esta se expresa en un conjunto de demandas sociales sobre el
comportamiento de los gobernantes, respecto del cual los ciudadanos son cada
vez más sensibles: estos esperan ser escuchados, tenidos en cuenta en su
particular punto de vista, esperan que sus dificultades, sus obstáculos
cotidianos, sus experiencias de vida sean objeto de atención.
La representación de proximidad puede ser comprendida,
entonces, como el vínculo representativo contemporáneo que se estructura sobre
la base de una identificación anticarismática
entre representantes y representados, se manifiesta en la presentación de los
primeros como “personas comunes”, capaces de compartir las experiencias
singulares de los segundos, de comprender sus vivencias cotidianas, de prestar
atención a sus inquietudes y necesidades y de escucharlas (Annunziata, 2012).
Es decir, la
representación de proximidad es un formato representativo que intensifica la
identificación entre representantes y representados, pero se trata de un tipo
de identificación particular. Para Max Weber (2008) el carisma constituye una
cualidad extraordinaria en una personalidad que se muestra sobrehumana,
sobrenatural o, al menos, extracotidiana.
Es el componente de carisma en la legitimidad el que la representación de proximidad
vendría a eclipsar. Así, los líderes buscan mostrarse como “cotidianos” más que
como “extracotidianos”, como “humanos” más que como
“sobrehumanos”, como “naturales” más que como “sobrenaturales”, y se presentan
con los atributos contrarios a aquellos que para Weber definían al carisma.
Se trata entonces
de una identificación singularizante, que no
construye como contrapartida una identidad colectiva, como sería el “pueblo”.
Si una identificación carismática añade a la identificación de los representados
con el líder una segunda identificación entre los representados mismos, la
identificación anticarismática procede siempre en un
vínculo uno-a-uno, singular, ya que cada ciudadano se identifica a su manera
según el atributo de “persona común” con el que se sienta interpelado.

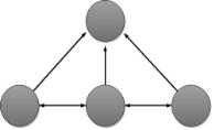
Figura 1. Esquema de la identificación carismática.

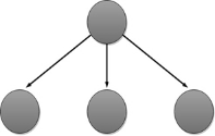
Figura 2. Esquema de la identificación anticarismática.
Fuente: elaboración propia.
La “identificación
anticarismática”[1] requiere de la puesta en escena de lo íntimo, tanto
de la intimidad de los dirigentes que quieren mostrar sus atributos de
“personas comunes” (su vida familiar, sus gustos personales, sus momentos de
descanso, sus sentimientos y anhelos, sus rutinas cotidianas), como de los
padecimientos, obstáculos, e historias de vida de los ciudadanos con los que
buscan identificarse los primeros. La compasión y la empatía constituyen los
operadores de este tipo de identificación.
Las nuevas
tecnologías de información y comunicación potencian los efectos de proximidad,
sobre todo en la medida en que son muy afines a la “espectacularización
de la intimidad” (Sibilia, 2008). En efecto, se ha
destacado cómo las redes sociales facilitan la “intimización”
en política (Graham, Jackson y Broersma, 2017) y son
un dispositivo de comunicación que destaca las características humanizantes y personales de los políticos (Bor, 2014).
También se ha señalado que uso del gerundio que hacen los políticos en las
redes (“haciendo”, “visitando”, “recorriendo”, etc.), contribuye a producir un
efecto de inmediatez (Riorda, 2017).
Este tipo de
vínculo representativo atraviesa todo el arco político. No puede atribuirse a
un rasgo de las fuerzas o los candidatos de izquierda, de derecha, de tal o
cual ideología; parece más bien que es en sí misma una ideología contemporánea.
Todos los candidatos, gobernantes y fuerzas políticas se ven hoy en día
compelidos a adaptarse a la lógica de la proximidad, que constituiría, como
señalan Christian Le Bart y Rémi Lefebvre (2005), un “obligatorio discursivo”:
“Los profesionales de la política se encuentran hoy en día condenados a hablar
el lenguaje de la proximidad, no pueden distinguirse más que declinando este
tema de diferente manera. ¿La proximidad habrá devenido un obligatorio
discursivo?” (p. 19).
Asimismo, este
vínculo representativo atraviesa las escalas de representación, no es solamente
un atributo de la “política local”. La búsqueda de representantes más
“cercanos” o “próximos” ciertamente toma la política local como modelo de toda
política; se espera en realidad de todos los candidatos o gobernantes la figura
de un líder capaz de gobernar, cualquiera sea la escala, como si se tratara de
un ámbito local.
Si bien los
líderes de diversos colores políticos y contextos dan numerosos signos de lo
que aquí llamamos representación de proximidad,
también es cierto que no todos lo hacen del mismo modo; es decir, parafraseando
a Le Bart y Lefebvre, modulan este tema de manera diferente. Mauricio Macri y
su espacio político (PRO primero; Cambiemos, desde 2015) se han apropiado de
modo paradigmático de las estrategias de proximidad, que pueden combinarse muy
bien con la reivindicación de la ausencia de ideología y del “voluntariado” de
aquellos que, no teniendo nada que ver con la política, deciden “entrar” para
ayudar (Vommaro, Morresi y Belloti,
2015), pero que nunca serán realmente “políticos”. La proximidad localista del
PRO desde su gobierno al frente de la Ciudad Autónoma de Buenos Aires y su
apelación al “vecino” (Annunziata, 2012) se proyectaría más tarde a nivel
nacional. La narrativa macrista orientada a “gestionar soluciones técnicas” y
al protagonismo del individuo sobre los colectivos le ha permitido, incluso ya
en la presidencia, aparecer como un gobierno “desempoderado”
(Ramírez, 2016) más compatible con lo que llamamos “identificación anticarismática”. Otro factor que potencia la representación de proximidad en el caso de Mauricio Macri y
su entorno es el uso intensivo e intimista de las redes sociales (Slimovich, 2014) que habilitan a interpretar su camino
hacia la presidencia como una “ruta digital” (Slimovich,
2017).
En el marco de la representación de proximidad, la presencia de los políticos
en el territorio ha tomado un relieve creciente. “Estar ahí” pareciera ser una
herramienta de los dirigentes para mostrarse como “personas comunes”, y para
dar pruebas de que saben lo que los ciudadanos sufren y viven cotidianamente, y
que están interesados y comprometidos en resolver sus problemas. La presencia y
el contacto directo se transforman en vehículos del conocimiento legítimo, el
“saber de la experiencia” que solo los vecinos que habitan cotidianamente el
territorio pueden poseer. Además, la presencia parece dar acceso a los
intereses legítimos de la ciudadanía, identificados con “los problemas de la
gente” y dotados de una “realidad” y “autenticidad” que los opone a los
intereses de “los políticos”. Por último, la presencia permite intensificar la
figuración intimista del poder, poniendo en escena el contacto directo entre
los líderes y los vecinos, canalizando historias de vida, entrando en los
espacios domésticos, privados y cotidianos de los ciudadanos.
En sí misma, la
presencia de los gobernantes o candidatos en el territorio no es verdaderamente
nueva; participa, al contrario, de las formas de puesta en visibilidad y de
puesta en escena que todo poder necesita (Mariot, 2005; Fleurdorge, 2005).
Para capturar la novedad contemporánea, es preciso, en primer lugar,
conceptualizar y diferenciar las variadas formas de la presencia de los
políticos en el territorio.
Los políticos
siempre han recorrido el territorio. Unas de las formas características de
estos desplazamientos son, por ejemplo, las inauguraciones de todo tipo, las
aperturas de eventos culturales, artísticos, deportivos, o de obras públicas
importantes para la comunidad. Los políticos se desplazan en estos casos en el
marco de un estricto protocolo y su presencia es muy codificada y ceremonial.
Asimismo, históricamente, hemos visto también a los políticos desplazarse de
una manera más informal para acercarse a determinadas poblaciones o
localidades, llevando su carisma al territorio. Se conocen ejemplos de líderes políticos
caminando con las personas comunes, abrazando a alguien, besando a algún niño,
en un contacto más directo y más físico. El ejemplo de
líderes carismáticos como Juan Domingo Perón o Evita en la Argentina nos viene
a la cabeza inmediatamente. Ni uno ni otro de estos tipos de presencia pueden
ser vistos como nuevos. Sin embargo, son también muy diferentes entre sí. En el
primer caso, predomina el protocolo que refuerza la función, la autoridad del
cargo; en el segundo, lo que predomina es la informalidad y el contacto,
mediante el cual el líder parece transmitir una suerte de bendición. Mientras
que podríamos concebir a la primera forma como protocolar, podríamos pensar la
segunda como “taumatúrgica”. Tomamos prestada del célebre trabajo de Marc Bloch
(1983) sobre los “reyes taumaturgos” esta idea del poder que se desplaza para
tocar y sanar a los enfermos[2]. En todo
caso, lo que tienen en común estas dos primeras formas es que ambas son presencias
portadoras de carisma. Podríamos decir que el protocolo y la codificación
ligados a la primera nos hablan de un carisma de la función o del cargo; el
contacto directo movilizado por la segunda nos habla más bien de un carisma de
la persona.
Pero existen
también otras formas de la presencia de los políticos en el territorio que no
vehiculizan un carisma. Si pensamos, por ejemplo, en las recorridas de los
gobernantes para escuchar lo que tienen para decir los vecinos, cuáles son los
problemas que atraviesan en sus territorios, sus preocupaciones, podemos ver
que se trata en este caso de una presencia ligada al cargo –porque solo el
funcionario dispone de un poder de decisión y de los medios de solución de los
problemas relevados-. A la vez, se trata en estos casos de un político que
visita a las personas comunes para escucharlas y no para ofrecer un discurso o
inaugurar una obra pública. La solemnidad de la autoridad no se pone de
relieve. Esta forma de la presencia está centrada en la escucha. Además, hay
una forma de la presencia en la que el rasgo saliente es el contacto del líder,
de la persona, con los ciudadanos comunes, pero en la que el poder no se coloca
en la posición de ofrecer sanación, sino de compartir los sufrimientos de los
otros. El caso paradigmático son las visitas que hacen los políticos a las
víctimas de una tragedia o catástrofe. Esta forma de presencia está centrada en
la empatía y la compasión, y los políticos buscan con ella dar testimonio de
que comprenden y comparten las experiencias de los hombres comunes. No aparecen
como personas extraordinarias transmitiendo por medio del contacto una parte de
su carisma, sino que, en cambio, aparecen al lado de los que sufren mostrando
que ellos pueden sufrir también en tanto que “personas comunes”. En síntesis,
más ligada la primera a la función o el cargo y la segunda, a un liderazgo
personalizado, estas dos formas de la presencia tienen en común el hecho de que
los políticos se desplazan por el territorio en el marco de un gesto de “humildad
del poder” (Annunziata, 2013) y de no un refuerzo, ritual o mágico, del
carisma.
Distinguiendo así
estas formas de presencia, podemos identificar dos variables que nos permiten
esbozar una tipología. Tenemos, por un lado, las presencias en las que el carisma
juega un rol central y las presencias anticarismáticas,
por medio de las cuales los políticos se presentan como “personas comunes”. Por
otro lado, tenemos las presencias en las que la función o el cargo se ponen de
relieve, y las presencias en las que la personalidad del líder está en el
centro de la escena. Esta diferenciación nos habilita a construir cuatro tipos
ideales de la presencia de los políticos en el territorio. La síntesis de esta
tipología podría esquematizarse en un cuadro como el siguiente:
Tabla 1. Formas de la presencia de los políticos en el
territorio

Fuente:
elaboración propia.
Por supuesto, los
casos concretos de los desplazamientos de los políticos por el territorio son
siempre casos mixtos. Esto es inseparable de la naturaleza de la representación
política misma, que se apoya como dijimos sobre la doble base de la distinción
y de la semejanza. No obstante, la construcción de estos cuatro tipos ideales
sirve para distinguir mejor, por medio de la exageración de sus elementos, algunos
rasgos de las experiencias prácticas.
Las presencias
protocolares configuran escenas ritualizadas del poder. Las inauguraciones
pueden ser el ejemplo claro. La presencia del político en el territorio forma
parte, en este caso, de una ceremonia: corta la cinta, sube a una tarima o
escenario, ofrece un discurso institucional. Se encuentra acompañado
generalmente por otros políticos que lo rodean y que tienen una significación
también institucional.
Las inauguraciones
constituyen en efecto rituales políticos habituales, si tomamos la
caracterización de Marc Abélès (1989) a partir de sus
componentes básicos: sacralidad, repetición o tradición, borramiento relativo
del individuo, territorialización de las prácticas, manipulación de objetos con
alto valor simbólico. El carácter sagrado del poder se manifiesta, por ejemplo,
en la solemnidad de las formas de tomar la palabra, en una disposición
particular del espacio, dado que el gobernante habla generalmente desde un escenario[3] y que da nacimiento, al cortar la cinta, a la obra o
actividad en cuestión. El gobernante se encuentra en posición de creador, las
acciones implicadas en las inauguraciones son repetidas cada vez, y la persona
cuenta menos que la función o el cargo, ya que el ritual se repite más allá de
la persona que lo cumple en cada ocasión: quien sea intendente, ministro,
gobernador, en esa ocasión sencillamente asume la función de inaugurar. Como en
todo ritual, la presencia física es inseparable de la inauguración; no es
posible realizar una inauguración a distancia. Los gestos y los símbolos son
también muy importantes: la cinta, las tijeras, forman parte de una escena
codificada por fuera de la cual la acción de inaugurar no puede tener lugar.
Las inauguraciones siguen entonces un protocolo que configura una escena en la
que se pone en evidencia la autoridad del poder. Ejemplos de presencias de este
tipo son abundantes y conocidos, pero mencionemos algunos casos que el propio Abélès describe para ilustrar los rituales políticos
contemporáneos: un alcalde siempre participa en una inauguración de una obra,
en una conmemoración, en el cierre de una reunión de la sociedad civil local,
en la entrega del trofeo de un campeonato deportivo (Abélès,
1989).
Las presencias
taumatúrgicas no se guían, en cambio, por ningún protocolo. Crean la imagen de
una informalidad y de una espontaneidad propia del contacto directo. El líder
visita una localidad, las personas lo reciben con aplausos cuando pasa, decide
acercarse a alguien, darle la mano, tocarle el hombro o abrazarlo. Entre los
innumerables relatos de visitas de este tipo que realizaban líderes como Perón
o Evita en la Argentina, podemos citar, por ejemplo, un testimonio recuperado
por Martuccelli y Svampa
(1997): “Evita vino a la fábrica, recorrió todo, se metió como cualquiera, por
eso Evita era única, agarraba a los viejitos, todos los besaba, los pibitos
todos sucios, los besaba, cosas que no se olvidan” (p. 321).
También es posible
encontrar un ejemplo bastante reciente en el estilo de campaña de Carlos Menem,
de acuerdo con la descripción realizada por Palermo y Novaro (1996). Para los
autores, Menen inaugura ciertamente un tipo de campaña apoyada en la presencia física,
con la forma de recorridas por el territorio, caravanas o formas múltiples de
contacto directo con los ciudadanos. Describen los autores:
Notemos el estilo cuasi-religioso de los desplazamientos por el territorio de
los ejemplos relatados: el carisma del líder se coloca en el centro de la
escena. Las presencias taumatúrgicas ofrecen la imagen de una multitud aclamante, que aplaude y recibe al líder, envolviéndolo en
el calor popular. El líder, por su parte, ofrece su presencia como un don de sí
y puede acompañarla con un discurso que emociona a la audiencia.
Las presencias de
escucha se caracterizan también por la informalidad y el contacto directo del
representante con los ciudadanos, pero en este caso, el político que visita un
barrio se mezcla con la gente sin ser recibido por vivas y aplausos; se muestra
en cambio como un “hombre común” entre los demás. La “escucha” predomina sobre
el discurso; la palabra está de lado de los ciudadanos.
Se podría pensar
que el ejemplo característico es el de las campañas electorales contemporáneas,
en las que los candidatos recorren el territorio, golpean algunas puertas,
conversan en la calle con un ciudadano, se organizan actividades en las que
participan tanto candidatos como ciudadanos... Son los candidatos quienes se
desplazan hacia el espacio de la cotidianeidad de los ciudadanos.
Si bien los
candidatos en campaña no tienen un cargo, es, sin embargo, el cargo como
capacidad de decisión lo que se pone en el centro de la escena. Los candidatos
en campaña aspiran a una función gubernamental, y por medio de esta forma de
presencia en el territorio apelan a mostrar que se desempeñarán en esa posición
de manera accesible y atenta a los ciudadanos comunes. La “promesa” que hacen
es la de la escucha; muestran el lugar del poder como el lugar de resolución de
los problemas de los ciudadanos, que solo los ciudadanos mismos conocen
verdaderamente. Los gobernantes en ejercicio que recorren el territorio, pero
también los candidatos, hacen ver de este modo una presencia organizada sobre
la base del anticarisma del
cargo.
En 2005, un
artículo de prensa titulaba: “Nace la moda de los ‘candidatos delivery’. Los postulantes porteños del PRO recorren casas,
tocan timbre y hablan con vecinos para difundir sus ideas” (25 de septiembre de
2005). La noción de candidatos “delivery” es
sugestiva porque indica bien cómo son crecientemente los candidatos los que se
desplazan en la búsqueda de los ciudadanos, acercándose a los espacios de su
cotidianeidad. El artículo mencionado continuaba, describiendo cómo estos
candidatos: “…dedican al menos dos horas por día, dos o tres veces a la semana,
a tener contactos directos -cara a cara- con potenciales votantes”.
La “moda”
identificada por este artículo no ha hecho desde entonces más que consolidarse.
En el marco del proceso electoral de 2011 en la Ciudad de Buenos Aires,
Mauricio Macri realizaba también visitas a las casas de algunos vecinos. Otro
artículo lo narraba así: “Eran las 7.23 de la mañana y Mauricio Macri llegaba,
bolsita con medialunas en mano, a tocar el timbre del departamento de la calle
Bulnes al 700 (…) un rato más tarde, y muy relajado, Macri estaba tomando un té
con Paula y Pedro, dos vecinos del barrio de Almagro que le dieron una
bienvenida casi ideal” (Rosemberg, 8 de julio de
2011). Francisco De Narváez, candidato para gobernador en la provincia de
Buenos Aires, también entraba en la casa de ciudadanos comunes: “‘¡Mirá qué humilde, pide entrar y todo!’, comentaban
sorprendidas dos jóvenes, mientras Francisco de Narváez franqueaba la puerta de
chapa de la humilde casilla. Allí la esperaba Elena, una costurera que gana 400
pesos por mes…”, como relataba una nota publicada ese mismo año (Rosemberg, 12 de enero de 2011).
La tendencia de
las campañas electorales contemporáneas ha sido, en efecto, la de movilizar a
los candidatos en lugar de a los ciudadanos. Los actos tradicionales se han ido
reemplazando por recorridas y visitas a los vecinos, y esto ha ocurrido más
allá del color político de los líderes. En el proceso electoral de 2013, los
dos principales candidatos, Sergio Massa y Martín Insaurralde, organizaron su
campaña en torno a las recorridas por los barrios, recogiendo testimonios de
ciudadanos comunes (Annunziata, 2015).
En estos ejemplos
pueden destacarse los principales rasgos de lo que llamamos una presencia de
escucha. El político entra en la casa de los vecinos, comparte con ellos un
momento, un desayuno, y aprovecha para escuchar en lugar de hablar. Su
presencia está teñida de una actitud divertida y distendida. Tal como lo
señalan las descripciones de las notas de prensa, estos desplazamientos y esta
forma de la presencia de los políticos en el territorio buscan ser percibidos
como gestos de humildad del poder.
En el caso de la
presencia de empatía, se trata también de un gesto de humildad del poder, pero
esta vez, es el lazo personal e íntimo el que más se busca poner de relieve. La
presencia de empatía vehiculiza una compasión anticarismática.
El político que visita a las víctimas de una tragedia muestra,
paradigmáticamente, su capacidad y disposición a comprender las vivencias de la
gente común. El vínculo entre los políticos y los ciudadanos en esta forma de
presencia es también del orden del contacto directo y físico, y especialmente
afectivo.
Uno de los
ejemplos recientes en la Argentina puede ser el del exgobernador de la
provincia de Buenos Aires, Daniel Scioli. Durante su gestión, Scioli ponía con
frecuencia de relieve su capacidad de “estar ahí”. Visitaba a los vecinos
particularmente cuando acababan de producirse situaciones resultantes de la
inseguridad, que colocaban a los vecinos en el lugar de víctimas y los
incitaban a reclamar cada vez más “presencia” de los políticos en el
territorio. Por ejemplo, un artículo periodístico narraba la visita de Scioli
al viudo de una maestra asesinada en 2009 en Derqui, provincia de Buenos Aires:
“El gobernador bonaerense, Daniel Scioli, indicó hoy que anoche mantuvo un
encuentro con Walter García, el viudo de Sandra Almirón, la maestra asesinada
en Presidente Derqui. Dijo haberse encontrado con ‘un
hombre de trabajo y luchador por la vida, con un gran amor por su mujer’ (…)
‘Walter me hizo recorrer cada rincón de la casa, cada uno de los recuerdos
hasta el guardapolvo de Sandra, que abrazaba’, prosiguió” (Scioli visitó al
viudo de la maestra asesinada en su casa de Derqui, 28 de noviembre de 2009).
También cuando se produjo
el asesinato de Candela, una niña de once años que había desaparecido durante
varios días conmocionando al país, el entonces gobernador mostró su capacidad
de estar “siempre ahí”. Cuando la niña fue encontrada sin vida y su madre debía
reconocer el cuerpo, Daniel Scioli la acompañaba. Un artículo de prensa narraba
el momento: “Ayer, parado frente a la bolsa de plástico oscura que contenía el
pequeño cuerpo desnudo, desfigurado y brutalmente asesinado de Candela
Rodríguez, el gobernador solo atinó a musitar: ‘Dios mío’. Minutos más tarde,
cuando llegó la madre de Candela al descampado situado en Villa Tesei, y Scioli
la acompañó a reconocer el cadáver de la niña, el gobernador escuchó una
advertencia de esa mujer devastada, que le dijo: ‘Mataron a mi hija. Va a ser
la última hija a la que maten’” (Lucesole, 1 de
septiembre de 2011).
El gobernador no
estaba allí solamente; estaba allí en un momento de conmovedora intimidad,
compartiendo el sufrimiento más inmediato y mudo de la madre. La compasión, como
ya lo había señalado Hannah Arendt, deja “sin palabras” (Arendt, 2004). La
autora ha sostenido que la compasión no es capaz de un discurso sobre el mundo,
porque no puede dar lugar a la generalidad, sino que se manifiesta por medio de
los gestos y las expresiones del semblante. Los casos extremos de las
presencias de empatía son, justamente, casos en que la presencia del político
constituye una compañía casi por completo silenciosa.
Habiendo
distinguido entre formas carismáticas y anticarismáticas
de la presencia, podemos afirmar que actualmente pareciera haber un predominio
o una mayor intensificación de las segundas: son las presencias de escucha y de
empatía las que más movilizan a los políticos y más llaman la atención de la
ciudadanía y los medios. Existe una demanda social de presencia que crece en
paralelo con una crítica de los políticos “encerrados en su escritorio” o de la
“política de escritorio”.
La crítica a la
“política de escritorio” se apoyaría en dos defectos de una “clase política”
encerrada sobre sí misma; uno cognitivo, y otro volitivo o afectivo. Por un
lado, los políticos que no recorren el territorio desconocerían la realidad
cotidiana de los ciudadanos; por otro lado, no reconocerían sus problemas y
sufrimientos. En cambio, y por oposición, la presencia en el territorio
pareciera conllevar una doble virtud, contribuyendo a la vez a conocer y
reconocer las situaciones cotidianas, los obstáculos e inquietudes, de los
ciudadanos comunes.
Ciertamente, la
presencia de los políticos tiene un aspecto afectivo; pretende ser una muestra
de interés y de preocupación, una “promesa de decisión” para retomar los
términos de Le Bart (2005, p. 159). Pero la presencia tiene también un efecto
cognitivo: permite adquirir un “saber de la experiencia” altamente valorado en
el discurso político contemporáneo. Es sobre todo del contacto directo,
cotidiano, inmediato con una situación, como parecen derivar el saber y
conocimiento sobre la realidad que los políticos están llamados a transformar.
La expresión “a mí no me la cuentan, lo veo”[4], que
formaba parte de la respuesta de exgobernador Scioli en una entrevista en la
que era consultado por la inseguridad (Entrevista a Daniel Scioli, 11 de julio
de 2010), se ha vuelto en los años recientes una apelación habitual de los
políticos al “saber de la experiencia” que solo la presencia en el territorio
parece proporcionar.
Lo que importa
subrayar aquí es que el conocimiento del territorio, la cotidianeidad de
ciudadanos singulares, la experiencia de las víctimas parece transformarse en
la clave de la concepción de las políticas. Más vale ver, escuchar, compartir,
que concebir las políticas o decidir las medidas a tomar desde el “encierro del
escritorio”. Las formas anticarismáticas de la
presencia de los políticos en el territorio constituyen cristalizaciones de la
representación de proximidad, no solo en la medida en que vehiculizan una
imagen de los políticos como “personas comunes”, sino también porque configuran
el lazo representativo en sus dimensiones volitiva y cognitiva. De este modo,
el “estar ahí”, en el barrio, en la cuadra, en la casa, de los ciudadanos,
significa para los políticos un modo de compartir la intimidad, de conocer a
través del “saber de la experiencia” y de construir la voluntad política a
partir de “los problemas de la gente”.
¿Qué forma de la
presencia que promueve y quiere hacer visible Mauricio Macri? Tanto en la
campaña para las elecciones presidenciales en 2015 como durante el primer año
de gobierno, Mauricio Macri apeló en particular a las presencias anticarismáticas que hemos denominado “de escucha” y “de
empatía”. En lo que sigue, pondremos de relieve la especificidad de las visitas
y timbreos del actual presidente.
Advirtamos en
primer lugar que entendemos que la significación de estas visitas y timbreos no
es territorial sino pública: los dirigentes difunden los videos de sus
contactos con el territorio o relatan anécdotas de sus conversaciones con
ciudadanos comunes cuando son entrevistados, lo cual genera así una circulación
en los medios de comunicación y en las redes sociales (Annunziata, 2015). Esto
se potencia en el caso de Mauricio Macri por el intenso empleo de las redes
sociales en las estrategias de campaña (Slimovich,
2014, 2016, 2017; Ariza, 2016) y en su comunicación gubernamental (Annunziata,
Ariza y March, 2018). Las nuevas tecnologías han renovado prácticas que pueden
parecer antiguas, pero no se comprenderían sin ellas: sin las redes sociales no
tendrían sentido los timbreos en el presente, porque lo que importa de esos
contactos uno-a-uno es que puedan amplificarse. En este trabajo nos centraremos
entonces en el aspecto visible y público de las visitas de Macri a los
ciudadanos comunes.
Hemos señalado
anteriormente que Mauricio Macri y los líderes de su espacio político (PRO)
habían recurrido a la estrategia de las recorridas, los desayunos y los
timbreos en procesos electorales previos[5] en los
que competían para la jefatura y legislatura porteña. De hecho, en una
publicación de Facebook del 24 de septiembre de 2016, Mauricio Macri hacía
referencia explícita a las prácticas de los timbreos como características de
larga data de su partido político:
El texto de la
publicación iba acompañado de un video que mostraba imágenes de timbreos de
Mauricio Macri, en las que se lo veía siempre con una o dos personas,
saludando, conversando, en contacto físico, en la puerta de alguna casa. Las
imágenes se iban sucediendo mientras se podía leer: “El 24 de septiembre de
2005 salimos a tocar timbre casa por casa por primera vez. Desde entonces no
paramos. Juntos. (Macri, 24/9/2016).
La campaña
presidencial de 2015 intensificó el recurso a las visitas a ciudadanos comunes
y los timbreos, e hizo de ellos uno de los principales ejes de la estrategia
electoral, ampliando las recorridas de la Ciudad de Buenos Aires a distintos
puntos del país. Así, como candidato a presidente, Mauricio Macri participó de
la tendencia general en las campañas electorales contemporáneas, en las que la
dinámica ha dejado de ser la de convocar a la ciudadanía a un acto organizado
en torno al discurso del candidato, para pasar a ser los candidatos quienes
“van a buscar” a los ciudadanos (Annunziata, 2015). Pero no solo participó de
esta tendencia, sino que hizo de ella el eje de su discurso de campaña, y
además mostró presencias anticarismáticas con rasgos
llevados al extremo. Si es posible esperar que, con esta forma de presencia de
un político en el territorio, el dirigente se acerque al espacio cotidiano de
los ciudadanos, en el caso de la campaña electoral de 2015 de Cambiemos, ese
espacio fue volviéndose más íntimo; pasó del barrio a la cuadra, de la cuadra a
la puerta de la casa, y de la puerta de la casa a la mesa de la cocina o el living comedor. Si también se puede esperar en las
recorridas y visitas de campaña contemporáneas que no predomine el discurso del
candidato sino la voz de los ciudadanos comunes, en el caso de la campaña de
2015 de Cambiemos los ciudadanos tomaron la palabra sobre todo para destacar la
excepcionalidad del contacto con el candidato.
Durante su campaña
presidencial, Macri realizó timbreos espontáneos y visitó en su casa a
ciudadanos de distintos lugares del país, fue recibido en diversas situaciones
de intimidad, como meriendas o almuerzos. Mientras que los timbreos se
presentaban como el paso casual, inesperado, por la casa de alguien con quien
se tiene confianza para, relajadamente, “tocarle el timbre”, las visitas eran
pautadas con anterioridad[6], pero
suponían un contacto más extendido, más personalizado y con alguna comida de
por medio.
Visitas y timbreos
dieron lugar a varios de los spots que se difundieron,
mostrando conversaciones distendidas y contacto físico: el candidato abrazaba y
besaba a los ciudadanos que lo recibían, apoyaba su mano sobre sus hombros
mientras los escuchaba. Entre los videos que recuperaban los timbreos,
sobresale uno en el que se iban sucediendo imágenes de momentos en los que
Mauricio Macri llamaba a alguna puerta y momentos en los que saludaba a los
vecinos que habían respondido el llamado. El video se titulaba, precisamente:
“¿Vas a estar en tu casa?”, una expresión que evoca la informalidad de las
visitas entre amigos, familiares o vecinos. Sobre un fondo musical, la sucesión
de imágenes iba acompañada del texto: “Este sábado, vamos a estar visitándote
en todo el país. Para conocerte, escucharte, compartir ideas y sueños. ¿Vas a
estar en tu casa?” (Macri, 8/5/2017).
Veamos un ejemplo
de spot en el que el candidato visitaba a Nicolás, de
Concepción del Uruguay, provincia de Entre Ríos, quien lo recibía con unos
mates y sosteniendo en brazos a su bebé recién nacido:
Este spot puede ser considerado como uno más dentro de la
variedad de spots que ponen en escena las visitas del
candidato a la casa de ciudadanos comunes durante la campaña electoral de 2015.
Pero revela en particular otro aspecto significativo de esta campaña: que la
escena de la proximidad, la emoción compartida, reemplaza por completo el
contenido del mensaje. La escucha no es siquiera la que construye la
argumentación de campaña con los deseos y preocupaciones de los ciudadanos
comunes, sino que la escucha se magnifica como un factor afectivo que emociona
por sí solo, y resulta ser entonces la escucha preverbal de las emociones.
Cabe subrayar,
entonces, que la campaña presidencial de Mauricio Macri le dio un nuevo giro a
la estrategia de las visitas a los ciudadanos comunes, respecto de la que
habían empleado anteriormente tanto la suya como otras fuerzas políticas
(Annunziata, 2015). Por un lado, esta escucha preverbal de las emociones
transforma la presencia de escucha en una presencia de empatía, que es menos
habitual en las campañas electorales. Por otro lado, se centra la atención en
el propio hecho de la visita, volviendo explícito, sin disimularlo, que está en
juego que el candidato visite a los ciudadanos más que lo que las visitas
puedan transmitir en su contenido. Durante la campaña de 2015 se difundieron,
de hecho, un conjunto de spots que podemos llamar
‑para destacar este aspecto- “metavisitas”. En el
lanzamiento de la campaña, luego de las elecciones internas (PASO) en las que
Macri sería proclamado el candidato presidencial de la coalición Cambiemos, se
difundió un spot con el eslógan
“Estoy con vos”, en el que se mostraban sucesivamente las imágenes de las
visitas realizadas sobre el fondo del tema musical de la campaña, cuyo
estribillo rezaba: “…Y en cada rincón estoy con vos; oh oh,
oh oh, estoy con vos, oh oh,
oh oh, estoy con vos….”
(Macri, 17/7/2015). En otro spot se recopilaban las
situaciones en las que Macri llegaba a cada una de las casas, los momentos en
los que le abrían la puerta y lo abrazaban, y sucesivamente, se podía oír la
voz del candidato diciendo “gracias por invitarme” (Macri, 25/7/2015).
Pero hay otros spots en los que se puso aún más de relieve que el mensaje
era la propia visita del candidato. Uno de ellos mostraba a Edelmira, de Morón,
provincia de Buenos Aires, en primer plano hablando con su teléfono celular:
“Edelmira: ‘No, no…nada más que vino Macri’” (Macri, 21/7/2015).
Se podía ver que
Edelmira estaba sentada a la mesa de su casa y le dirigía, mientras dejaba el
teléfono, una mirada cómplice a Mauricio Macri, para luego explicarle el
sentido de la conversación que parecía estar manteniendo con alguien de su
entorno cercano: “Edelmira: ‘Vi mucha gente en la puerta… ¿pasó algo?’ (Macri,
21/07/2015).
El spot llamaba la atención sobre la sorpresa, sobre el
acontecimiento excepcional que implicaba la visita de Mauricio Macri a la casa
de una vecina de Morón, pero no transmitía nada sobre lo conversado en esa
visita en torno a los problemas, desafíos y aspiraciones que implicaran
propuestas de rumbos o decisiones políticas.
Lo mismo ocurría
en varios de los spots/videos que circularon sobre
todo por los medios digitales: el fragmento de la visita que se mostraba era,
significativamente, aquel en el que los ciudadanos que recibían al candidato
hacían alguna referencia al hecho de la visita misma.
Por ejemplo, de la
visita a una pareja de Mar del Plata, Provincia de Buenos Aires, se mostraba un
video titulado “Si viene, yo lo voto” (Macri, 21/5/2015). En el video aparecía
la mujer de Quique, narrando que él no había pensado en un principio votar por
Macri, hasta que el propio Quique tomaba la palabra y contaba qué lo había
hecho cambiar de opinión: “Quique: Pero decile
también por qué dije eso…porque acá todos se encargan de la capital, uno, el
otro, y a Mar del Plata nadie viene…Y me dice ella: ‘¿Querés
que le diga que venga y entonces lo votás?’ Si viene,
sí” (Macri, 21/5/2015).
Otro de los videos
mostraba la visita a la familia de Lucas y Elizabeth, de Quilmes, Provincia de
Buenos Aires, y comenzaba con el agradecimiento del candidato:
Otro ejemplo en
que se destaca el hecho de la misma visita es el spot
en el que se muestra a Macri visitando a Sandra de Corrientes, parte de una
serie de spots que terminan con el eslógan
“Vamos juntos”. En el video se ve en primer plano a dos mujeres que miran en la
misma dirección, y una le dice a la otra: “¿Quién va a creer que Macri anda
caminando nuestro barrio?”
La cámara se mueve
y permite ver que llega Mauricio Macri caminando en dirección a Sandra y
saluda: “Hola, hola…”
El spot termina cuando el candidato llega hasta donde ambas
mujeres lo esperan y saluda a cada una besándolas en las mejillas, mientras la
voz en off -también presente en el cierre de los otros
spots de la serie- afirma: “Mauricio Macri, Presidente de la Nación. Vamos Juntos. Cambiemos. Lista 135
G”. (Macri, 21/7/2015).
El primer tramo de
la campaña electoral estuvo, como vemos, estructurado en torno a los timbreos y
las visitas. Estos varios contactos con los ciudadanos en sus casas se
difundieron especialmente por las redes sociales. Facebook[7] fue uno
de los principales medios en los que se recuperaban relatos, imágenes y videos.
En su cuenta oficial, Mauricio Macri narraba las recorridas y ponía en primer
plano las “historias de vida” de ciudadanos comunes que iba conociendo en la
campaña.
Por ejemplo, en un
posteo de Facebook relataba:
Estas historias[8] eran recuperadas luego por los medios de
comunicación como la prensa gráfica nacional (Mauricio Macri y la milanesa con
ensalada en una visita de campaña a una joven chaqueña, 29/4/2015) e
internacional:
Este fragmento es
interesante porque identifica con claridad lo que llamamos más arriba
“presencia de escucha”: el que toma la palabra es el ciudadano y el dirigente
político está en una posición de escucha, no es un acto ni un discurso, no es
una reunión ni una verdadera conversación, es un monólogo. Pero también el
fragmento advierte la significación de esta “intimidad” pública; lo importante
del carácter íntimo del encuentro es que luego pueda difundirse públicamente.
Durante la campaña
electoral, Mauricio Macri y los dirigentes de su espacio (PRO-Cambiemos)
participaron también en numerosas entrevistas televisivas y programas
políticos, en los que casi nunca faltaban las anécdotas de estas recorridas, la
referencia a las visitas que se estaban haciendo y la mención del nombre de
pila de alguno de los ciudadanos comunes con los que se había entrado en
contacto. En el debate televisivo del 4 de octubre de 2015, organizado por
Argentina Debate en la Facultad de Derecho de la Universidad de Buenos Aires,
Mauricio Macri fue, de acuerdo con el resultado del sorteo, el primero de los
candidatos que tomaría la palabra, y así comenzó su intervención: “Buenas
noches a todos. Felicito a Argentina Debate por la iniciativa. Pero para mí […]
hablar de desarrollo económico es hablar de todas las personas que visité, que
me recibieron en su casa, en su trabajo, que tienen la expectativa de crecer,
de progresar…” (Argentina Debate, 4/10/2015).
Antes del
balotaje, Macri lanzó un nuevo conjunto de spots, que
retomaban fragmentos de su discurso público durante el acto de festejo de los
resultados de las elecciones generales (25 de octubre de 2015). Uno de ellos se
refería explícitamente a las recorridas realizadas y visitas en casa de los
ciudadanos de distintos lugares del país: “Quiero agradecer a cada persona que
visité, que me invitó a su casa durante todos estos años, y que me fueron
ayudando a entender mejor cómo hacer despertar este país y ponerlo a crecer.
Gracias de verdad”. (Macri, 7/11/2015).
De este modo,
podemos afirmar que las recorridas por el territorio, las visitas a ciudadanos
comunes y la mostración de sus “historias de vida” marcaron el ritmo y
estructuraron la campaña de Mauricio Macri en 2015, mediante una circulación
del mismo mensaje por diferentes medios: no hubo visita que no fuera un video,
que no se buscara difundir por las redes sociales, que luego no fuera levantada
por otros medios de comunicación y que no formara parte del discurso del
candidato y su equipo en los programas de televisión.
Sin embargo, la
campaña de 2015 tuvo ciertas especificidades. Por un lado, tan grande fue el
rol que se le dio a la escucha en la construcción de la voluntad política que
la propia escucha eclipsó aquello que supuestamente había para escuchar. Se
produjo una suerte de vacío en el terreno a partir del cual, según la propia
lógica de la estrategia de campaña, se generaría una voluntad, un rumbo, una
dirección hacia políticas o programas específicos. A la hora de traducir lo que
tomaba de los ciudadanos comunes, el candidato no llegaba a soluciones técnicas
para problemas concretos[9], ni a la
propuesta de un “proyecto” colectivo[10], sino
que, bajo el paraguas de la apelación al “cambio”, identificaba la voluntad
política con los “sueños” de un país mejor. Como la escucha mostrada era
preverbal, emocional, se produjo una particular fusión entre lo que hemos
denominado presencia de escucha y presencia de empatía.
Por otro lado, en
lo que hace también a la dimensión figurativa, se observa que existió sin dudas
una búsqueda del candidato Mauricio Macri por mostrarse como un ciudadano más,
cercano, humano, capaz de compartir emociones e intimidad con los ciudadanos
comunes. Pero esta búsqueda apareció acompañada de un elemento que estuvo en el
límite de distorsionarla: la campaña de las “metavisitas”
en las que se explicitaba que lo importante era que el candidato fuera capaz de
“estar ahí” y de “escuchar” puede revelar la estrategia como estrategia, es
decir, llamar la atención sobre la artificialidad de la situación de contacto.
Mauricio Macri
ganó las elecciones en el balotaje del 22 de noviembre de 2015 y asumió como
presidente el 10 de diciembre. Desde su discurso de asunción, optó por una
presentación de sí anticarismática, en la que la
figuración intimista del “hombre común” se combinó con la apelación a la
escucha y la posición de falibilidad con respecto a la voluntad y al saber
sobre aquello que le ha tocado representar. En sus palabras:
Lo más novedoso de
su estrategia fue que, ya como presidente, continuó con la práctica de visitas
y timbreos. Por un lado, recuperó las historias singulares de quienes habían
sido visitados durante la campaña electoral. Destaquemos en particular una
publicación de su cuenta oficial de Facebook:
Por otro lado,
continuó con la práctica de producir contactos uno-a-uno con ciudadanos
comunes, varios de los cuales fueron destacados por los medios de comunicación.
Un ejemplo es la siguiente nota del diario Clarín, en
la que se narraba:
Algunos de estos
gestos mostraron sus límites cuando la espontaneidad del presidente en contacto
con los ciudadanos en su territorio se reveló demasiado fabricada Una de las
situaciones que más impacto generaron en este sentido fue la publicación de las
imágenes de Mauricio Macri en un colectivo rodeado de vecinos, que luego fueron
contrapuestas a otras imágenes que evidenciaban que se había tratado de un
montaje. Mauricio Macri había twitteado: “Recorriendo Pilar en la línea 520
para contarles a los vecinos el plan de renovación de los corredores de
colectivos en el conurbano” (Macri, 22/9/2916).
Pero lo más
llamativo del primer año de la presidencia de Mauricio Macri, fuera del
contexto electoral, fue la continuidad en la realización de campañas de
timbreos y visitas a las casas de los ciudadanos comunes. Si bien las
estrategias de proximidad de este tipo estaban volviéndose cada vez más
frecuentes en los procesos electorales, resulta particularmente novedoso que se
organizaran estos dispositivos de “presencias de escucha” desde el gobierno.
En efecto, las
visitas a las casas a los ciudadanos y los timbreos constituyen, según la
clasificación propuesta, “presencias de escucha”, en las que de lo que se trata
es de que los políticos entren en contacto con las experiencias, las
dificultades y los anhelos de aquellos que son visitados. ¿Cómo pensar esta
escucha permanente, pero al mismo tiempo singularizada, estando en una posición
gubernamental? ¿No es la pura recolección de preocupaciones y aspiraciones
individuales más propia de un contexto de campaña electoral? En la medida en
que un gobierno comienza a diseñar planes de políticas y a tomar decisiones,
¿le es posible seguir escuchando la multiplicidad de historias y experiencias
singulares? Cuando comenzaron los timbreos del presidente, los medios y los
mismos funcionarios reconocían que se buscaba con ello “recuperar el espíritu
de campaña”. Una nota de prensa relataba que el jefe de Gabinete Marcos Peña
había organizado con este propósito el primer “Timbreo Nacional” para el 20 de
agosto de 2016:
El 20 de agosto el
mismo presidente Mauricio Macri participaba entonces de un timbreo en la
localidad de San Miguel.[11] En
septiembre, Mauricio Macri volvía a encabezar un timbreo, esta vez en la
localidad de General Las Heras, con la intensificación de la figuración
intimista que supuso el acompañamiento de su hija Antonia: “Con María Eugenia y
Antonia, tocando timbres en General Las Heras” (Macri, 24/9/2016).
Mientras otros
dirigentes y funcionarios de su espacio recorrían distintos puntos del país y
sobre todo de la provincia de Buenos Aires, en octubre de 2016 Mauricio Macri
encabezaba un nuevo timbreo en la localidad de Magdalena: “Tocando timbres y
charlando con los vecinos de Magdalena” (Macri, 22/10/2016).
No solo se
mantuvieron los timbreos espontáneos[12] sino
también las visitas a las casas de ciudadanos comunes. Durante 2016, Mauricio
Macri empleó con frecuencia su cuenta oficial de Facebook para relatar algún
aspecto de estas visitas, mostrar imágenes o subir videos. Por ejemplo:
¿Cuáles son las
tensiones que producen estas “presencias de escucha” -timbreos y visitas
presidenciales- cuando mantienen el mismo formato que en la campaña, pero los
dirigentes se encuentran en una posición de oficialismo nacional? Por un lado,
vuelven a poner la atención en lo prospectivo, en los deseos para el futuro,
mientras que el presidente, desde su posición de autoridad, ya ha tomado
decisiones que siempre van restringiendo el horizonte de lo posible. Por otro
lado, estas presencias desdibujan la responsabilidad política de los
gobernantes sobre las situaciones problemáticas que les transmiten los
ciudadanos visitados. Si pensamos en uno de los ejemplos citados, el de Silvina
-quien había invitado a Mauricio Macri a comer milanesas-, podemos notar que no
es lo mismo escuchar su historia como candidato opositor que como presidente.
En tanto que candidato opositor, el dirigente puede escuchar que la ciudadana tiene que tener dos empleos para mantenerse y hacer el
esfuerzo de seguir con sus estudios. En tanto que presidente, si escucha este
mismo relato, está en condiciones de cambiar la situación, tiene la
responsabilidad de hacerlo y no debería permitir que situaciones injustas que
llegan a su conocimiento permanezcan como tales. ¿Qué hace con lo que escucha?
El único modo de eludir esta tensión sobre la responsabilidad política que
hacen emerger las visitas presidenciales es, nuevamente, transformar el centro
del mensaje en la escucha misma y dejar en segundo plano, o fuera del discurso,
aquello que hay que para escuchar.
En este trabajo
hemos reparado en la tendencia contemporánea de los políticos a mostrase
presentes en el territorio, buscando legitimarse en función de la proximidad.
Hemos identificado cuatro formas de la presencia de los políticos en el
territorio, sosteniendo que las formas características de nuestro tiempo son
las presencias anticarismáticas, que llamamos
“presencia de escucha” y “presencia de empatía”.
Luego, hemos
analizado los timbreos y visitas del actual presidente de la Argentina,
Mauricio Macri, dispositivos de proximidad que ha ubicado en el núcleo de la
construcción de la imagen de sí y de su partido, a la luz de la tipología
presentada anteriormente.
Además de apuntar
a mostrar a Macri y a otros dirigentes como personas comunes, con las que se
comparten conversaciones informales, unos mates o un almuerzo, mediando gestos
afectivos, es decir, además de producir una figuración “intimista” del poder,
las visitas y los timbreos tienen un doble efecto cognitivo y volitivo.
Aparecen, por un lado, como fuente de conocimiento, sobre la base del “saber de
la experiencia” de los ciudadanos comunes que son visitados, y que ayudan, con
el relato de sus vivencias cotidianas a “entender mejor” la situación del país.
Por otro lado, aparecen como una fuente de voluntad, en la medida en que se
proponen recoger las preocupaciones de la gente, sus anhelos y sus problemas a
resolver. Las “presencias de escucha” refuerzan estos efectos cognitivos y
volitivos, mientras que las “presencias de empatía” intensifican el efecto
figurativo.
¿Pero cuál es ha
sido la especificidad de las visitas y timbreos de Mauricio Macri en la campaña
de 2015 y en su primer año como presidente? Durante la campaña, la presencia
del candidato en el territorio, en la puerta y en las casas de los ciudadanos
comunes, fueron estructurantes de la estrategia electoral, pero predominaron lo
que llamamos “metavisitas”, en las que el centro del
mensaje era la visita misma, el momento del saludo y del agradecimiento, el
momento de la sorpresa por la presencia del candidato en el lugar. Lo escuchado
no fue lo principal a transmitir en el mensaje sino el acto mismo de la
escucha. La escucha preverbal de las emociones fusionó las “presencias de
escucha”, características de las campañas electorales, con las “presencias de
empatía”.
Durante el primer
año de gobierno de Mauricio Macri fue llamativo, en cambio, que las visitas y
timbreos continuaran, con el mismo propósito de conocer y escuchar las
preocupaciones de la gente. Consideramos que las “presencias de escucha” son
típicas de los momentos electorales, y las “presencias de empatía” son más
propias de la gestión, en la medida en que la posición gubernamental supone que
se toman decisiones y que no se puede escuchar a todos por igual. Pero aquí
también, las visitas y timbreos del primer año de la presidencia de Mauricio
Macri revelaron que se buscaba mantener “un espíritu de campaña” y que se
mantuvo la centralidad de las “presencias de escucha”.
Como dijimos más
arriba, este trabajo se enfocó en el aspecto visible de los timbreos y las
visitas de Mauricio Macri, es decir, en un formato particular de nexo entre el
“cara a cara” y los medios digitales. Pero los resultados obtenidos abren por
su parte nuevos problemas de investigación. En primer lugar, se vuelve
relevante una sociología política de este tipo de contactos que permita
preguntarse quién es visitado y qué efectos deja en los ciudadanos comunes la
visita de los dirigentes. ¿Puede transformarse en una nueva modalidad de
reclutamiento de voluntarios o simpatizantes? ¿Cuáles son las diferencias con
fenómenos más clásicamente estudiados como el clientelismo político, en los cuales
los beneficios del intercambio parecen ser más evidentes?
En segundo lugar,
hemos visto que una de las formas en que las redes sociales vehiculizan la
proximidad es amplificando los contactos uno-a-uno en el territorio; pero las
redes sociales favorecen también otros modos de la proximidad, y otros modos de
figuración del contacto directo entre los políticos y los ciudadanos. Mauricio
Macri, como otros líderes contemporáneos, recurre también a llamados
telefónicos “imprevistos”, a invitaciones a sus seguidores a la participación
en las propias redes (enviando fotos, mensajes, ideas), y especialmente a la
mostración de su intimidad, su vida personal y familiar y sus propios aspectos
de “hombre común” (Annunziata, Ariza y March, 2018). Todos estos recursos
potencian los efectos de proximidad que el dispositivo de las redes sociales
tiende a producir. Cabe entonces preguntarse: ¿cuáles son las diversas formas
en que los medios digitales contribuyen al fenómeno transversal de la
legitimidad de proximidad?
Finalmente, la
centralidad de los medios digitales nos conduce a interrogarnos sobre la
magnitud de la transformación que estos imprimen en los vínculos
representativos, incluyendo en las mismas ideas de “presencia” y de
“territorio”. En este trabajo hemos analizado una forma nueva y contemporánea
de una práctica política antigua (dirigentes que recorren el territorio en
contacto con los simples ciudadanos), y, para hacerlo, hemos considerado una
noción de la presencia offline en un territorio
concebido como físico que luego adquiere sentido en su difusión online. ¿Pero qué sucedería si el entorno digital pudiera
pensarse también como territorio y la presencia online como la forma por
excelencia de la presencia de los líderes políticos contemporáneos? Sin dudas,
este interrogante coloca en la agenda de los estudios de la teoría política y
de la comunicación política la necesidad de repensar el binomio presencia y
representación a partir del impacto de los medios digitales.
......................................................
1. Es preciso distinguir entre dos formas de comprender
la noción de carisma. Una primera forma corresponde al modo como el concepto de
carisma es movilizado en los medios de comunicación y especialmente en el campo
de la comunicación política (ver, por ejemplo, Valdez Zepeda, Viramontes
Saldívar y Huerta Franco, 1 de diciembre de 2016). Este primer sentido hace
equivaler el carisma con un atributo personal de un líder o dirigente político
y lo identifica con su capacidad de producir atracción en el público, de
alcanzar buenos niveles de imagen positiva o de comunicar de manera efectiva.
Una segunda forma de entender la noción de carisma es la que se asocia, a
partir de la tradición weberiana, con la teoría política del liderazgo y la
representación (Bendix, 1967; Breuer, 1996). En este segundo sentido, el
carisma es la apelación a lo extraordinario de un liderazgo como fundamento de
la legitimidad. Este es el sentido que tiene la noción de carisma en el
presente trabajo. Por ello, nos importa especialmente si los líderes políticos
eligen mostrarse como personas comunes o como extraordinarias. Y esta elección
puede darse al margen de la capacidad de los políticos para hacerlo de una
manera efectiva. Esto significa que las nociones de carisma y anticarisma aquí empleadas remiten a las estrategias de
presentación de sí de los políticos, pero no dicen nada sobre el éxito o
fracaso de esas estrategias. Así, puede haber liderazgos que se presenten como
extraordinarios en casos de líderes con escasa efectividad comunicativa, tanto
como líderes muy capaces de atraer al público y comunicar que propongan una
presentación de sí en clave de “personas comunes”. Muchos –si no la mayoría- de
los líderes contemporáneos se ven obligados a presentarse como personas
comunes, apelando a lo que llamamos aquí “identificación anticarismática”,
pero algunos de ellos son líderes carismáticos (según la primera noción) y, por
lo tanto, exitosos en su estrategia, y otros no son carismáticos y más
fácilmente fracasan en su intención.
2. Por supuesto, la tomamos metafóricamente (en las
democracias modernas no se trata de una verdadera ilusión de sanación que
supondría una visión mágica y metafísica del poder), pero esta noción sirve
para subrayar el hecho de que este contacto del orden del don de sí tiene una
historia de larga data.
3. En su trabajo sobre la Asamblea Nacional en Francia,
Jean-Philippe Heurtin (2003) muestra cómo la
distribución del espacio implica principios morales o políticos. En el caso de
las presencias protocolares de los políticos en el territorio, el territorio se
adapta a la venida del poder y configura así una escena estrictamente pensada y
organizada.
4. Daniel Scioli afirmaba: “Yo vine a enfrentar este
tema y a cambiarlo, y estoy abierto a todos los sectores de la política, a
todos los sectores de la sociedad, a la participación ciudadana. Porque hablo
con las víctimas, he visto familias destrozadas, he llorado al lado del viudo
de la maestra, al lado de su guardapolvo y su cama y el esfuerzo de toda la
vida. He estado con la madre de la catequista y sé lo que significa que le
mataran esa hija; a mí no me la cuentan, lo veo.” (Entrevista a Daniel Scioli,
11 de julio de 2010).
5. Los dirigentes del PRO también habían recurrido a
otras estrategias de proximidad en el pasado. En 2007, cuando Mauricio Macri
buscaba ser electo como Jefe de Gobierno de la Ciudad
Autónoma de Buenos Aires, ya se instalaba la interpelación al “vecino” (Mattina, 2012, 2015), y en afiches y spots
de campaña se incluía como protagonistas a personas comunes que narraban sus
vivencias. En las elecciones legislativas de 2009, el PRO difundía, por
ejemplo, un slogan que consistía en una ecuación entre
sus tres principales candidatos y el vecino común, casi una fórmula perfecta de
la identificación anticarismática: “Francisco +
Mauricio + Gabriela = vos”. En las elecciones de 2011, en las que el PRO
competía por la reelección en la ciudad, la campaña les había dado un rol
central a las “historias de vida”, es decir, a testimonios centrados en las
experiencias singulares de ciudadanos comunes (Annunziata, 2012). Varios de los
spots entonces mostraban a personas comunes, vecinos,
que contaban una vivencia personal, y que comenzaban sosteniendo mensajes como:
“Esta es la historia de Pedro. Y quien mejor la puede contar es Pedro”. También
los timbreos y desayunos con personas comunes, para escuchar sus preocupaciones
e inquietudes, se volvieron centrales en ese proceso electoral (Annunziata,
2012), del mismo modo que la puesta en escena de la vida privada y familiar de
Macri (Slimovich, 2014). En las elecciones
legislativas de 2013, se instalaba el slogan con una
nueva fórmula de la identificación anticarismática:
“Somos un equipo de 3 millones de vecinos”; ese mismo volvería a ser movilizado
por los candidatos del PRO en 2015. En las elecciones generales de 2015, las
estrategias de proximidad se movilizarían tanto en la campaña nacional (Ariza,
2016) como en la de la Ciudad de Buenos Aires (Ariza y March, 2015) y en la de
la provincia de Buenos Aires (Estenssoro, 2017).
6. Las visitas se pautaban previamente mediante mensajes
que enviaban los ciudadanos por las redes sociales..
7. Como relata una nota de La Nación, esta red social
estaba en el centro de su estrategia de campaña y en ella registraba “…sus
numerosos viajes por todo el país. En ese entonces, Macri se dedicaba a visitar
a personas que lo habían invitado a sus propios hogares. Cada casa, cada
familia, cada historia se convertía luego en un post en Facebook” (Gallo,
26/11/2015). También publicó en su cuenta de Twitter imágenes y videos de la
campaña. Según Neira Carrión (2016), entre todos los candidatos presidenciales
de 2015, Mauricio Macri fue el que tenía el mayor número de seguidores; alcanzó
un millón setecientos mil y la mayor cantidad de Me gusta y retuiteos
en sus publicaciones.
8. Otro ejemplo de publicación en Facebook sobre los
timbreos, podemos encontrarlo en este post: “CON
ANTONIA, TOCANDO TIMBRES. Cada día somos más los que vamos hasta tu casa para
escucharte. Ni Antonia se lo quiere perder. (Ayer anduvimos por Luján)” (Macri,
4/6/2015). Además de entrar en la intimidad de los ciudadanos visitados,
Mauricio Macri refuerza este efecto de cercanía, en numerosas ocasiones yendo
acompañado de su hija Antonia..
9. Esta forma de presentación se diferencia, por
ejemplo, de la de Sergio Massa en las legislativas de 2013, quien desarrolló
una estrategia similar inicialmente, pero con otro punto de llegada: a partir
de las primeras caminatas y contactos con ciudadanos comunes, sus problemas y
sus historias de vida, se generaron las “propuestas” para el tramo final de la
campaña, en el que se dio paso a un estilo tecnocrático con diagnósticos
presentados como precisos y soluciones presentadas como concretas y verosímiles
(Annunziata, 2015)..
10. También se diferenció del principal adversario en
2015, el kirchnerismo, dentro del cual incluso se sostuvo, en el comienzo del
proceso electoral, “el candidato es el proyecto” (Annunziata, 2016).
11. En su cuenta de Facebook, Macri recopilaba ese mismo
día un conjunto de fotografías de la jornada, acompañando al texto: “TOCANDO
TIMBRES EN SAN MIGUEL” (Macri, 20/8/2016).
12. Los timbreos, en efecto, se han revelado como
inesperados incluso para la prensa, que el dispositivo de comunicación del
presidente mantiene así a distancia. De esto resultan las escenas no mediadas
por periodistas sino filmadas incluso muchas veces desde teléfonos móviles. Los
medios tradicionales tienen que conformarse con las imágenes y videos que
consiguen luego del acontecimiento -que nunca conocen con anterioridad- a
través de las redes sociales del presidente (es decir, acceden al mismo tiempo
que los simples ciudadanos). Sobre el desconocimiento a la intermediación
periodística ver Amadeo (2016).
Abélès, M. (1989). Rituels
et communication politique moderne. Hermes, (4), Le nouvel espace public, 127-141.
Amadeo, B. (2016). “El estudio de la comunicación gubernamental: líneas
de investigación y futuros desafíos”. Austral Comunicación, 5(2),
155-181.
Annunziata, R. (2012). ¿Hacia un nuevo modelo de lazo representativo? La
representación de proximidad en las campañas electorales de 2009 y 2011 en
Argentina. En Cheresky, I. y Annunziata, R. (Comps.), Sin programa, sin promesa.
Liderazgos y procesos electorales en Argentina (pp. 45-87). Buenos
Aires: Prometeo.
Annunziata, R. (2013). La figura del ‘hombre común’ en el marco de la
legitimidad de proximidad: ¿un nuevo sujeto político? Astrolabio.
Nueva Época, (10), 127-155.
Annunziata, R. (2015). Liderazgos de proximidad y procesos electorales.
Los casos de Sergio Massa y Martín Insaurralde en las legislativas de 2013. En
Annunziata, R. (Comp.), Pensar las elecciones. Democracia,
líderes y ciudadanos (pp. 95-128). Buenos Aires: CLACSO-IIGG.
Annunziata, R. (2016). ‘El candidato es el proyecto’ La construcción de
la narrativa kirchnerista en Argentina. En Riorda, M. y Rincón, O. (Eds.), Comunicación gubernamental en acción: narrativas presidenciales y
mitos de gobierno (pp. 111-128). Buenos Aires: Biblos.
Annunziata, R., Ariza, A. y March, V. (2018). “Gobernar es estar cerca”.
Las estrategias de proximidad en el uso de las redes sociales de Mauricio Macri
y María Eugenia Vidal. Revista Mexicana de Opinión Pública,
(24), 71-93.
Arendt, H. (2004) [1963]. Sobre la revolución.
Madrid: Alianza Editorial.
Argentina Debate (4 de octubre de 2015). El primer debate presidencial
de la historia argentina. Recuperado de https://www.youtube.com/watch?v=bkK8iI2qZVg.
Ariza, A. (julio, 2016). Las estrategias
comunicativas, en Twitter y Facebook, durante la campaña electoral presidencial
2015. Trabajo presentado en el V Congreso Internacional de Comunicación
Política y Estrategias de Campaña, Universidad Austral, Buenos Aires,
Argentina.
Ariza, A. y March, V. (noviembre, 2015). La campaña
electoral virtual 2015 en la Ciudad de Buenos Aires. Trabajo presentado
en las VIII Jornadas de Jóvenes Investigadores, Instituto de Investigaciones
Gino Germani, Universidad de Buenos Aires, Buenos Aires, Argentina.
Bendix,
R. (1967). Reflections on Charismatic Leadership. Asian
Survey, (7)6, 341-352.
Bloch, M.
(1983). Les rois thaumaturgiques.
Paris: Gallimard, bibliothèque des histoires.
Bor,
S. (2014). Using Social Network Sites to Improve Communication Between
Political Campaigns and Citizens in the 2012 Election. American Behavioral
Scientist, (58)9, 1195-1213.
Breuer, S. (1996). Burocracia y carisma: la sociología política de Max
Weber. Valencia: Alfons el Magnànim.
Calero, C. (26 de octubre de 2015). Mauricio Macri llama a su puerta. El Mundo. Recuperado de
http://www.elmundo.es/internacional/2015/07/20/55abecffe2704eb83a8b4575.html.
Cambiemos difunde una "Guía para visitar vecinos" (18 de
octubre de 2015). Nueva Ciudad. Recuperado de
http://www.nueva-ciudad.com.ar/notas/201510/21693-cambiemos-difunde-una-guia-para-visitar-vecinos.html.
Collier,
D., Laporte, J. y Seawrigth, J. (2008). Typologies:
forming concepts and creating categorical variables. En Box-Steffensmeier, B. y
Collier, D. (Eds.), The Oxford Handbook of Political
Methodology (pp. 152-173). Oxford: Oxford University Press.
Entrevista a Daniel Scioli (11 de julio de 2010). Perfil. S/p.
Estenssoro, F. (2017). La proximité en campagne. La campagne électorale de Maria Eugenia Vidal à la province
de Buenos Aires. Métamorphose du lien
représentatif et construction
d’attributs en politique. (Tesis de
maestría). Science Po, Paris.
Fioriti,
S. (3 de abril de 2014). Con ayuda de Facebook, Macri sale a tocar timbres al
interior. Clarín. Recuperado de:
https://www.clarin.com/politica/ayuda-Facebook-Macri-timbres-interior_0_Hyj-_8AcDQl.amp.html.
Fleurdorge, D. (2005). Les rituels et les représentations du pouvoir.
Paris: Éditions Zagros.
Gallo, J. (26 de noviembre de 2015). El primer presidente de Facebook. La Nación. Recuperado de
https://www.lanacion.com.ar/1849036-el-primer-presidente-de-facebook.
Galvalizi, D. (5 de agosto de 2016). El gobierno busca llevar “la gestión al
territorio” y mantener el espíritu de campaña Télam. Recuperado de
http://www.telam.com.ar/notas/201608/157928-gobierno-macri-tarifazo-ruidazo-vidal-argentina.php.
Goertz, G. y
Mahoney, J. (2012). A Tale of Two Cultures:
Qualitative and Quantitative Research in the Social Sciences. Princeton: Princeton
University Press.
Graham,
T., Jackson, D. y Broersma, M. (2017). The Personal in the Political on
Twitter: Towards a Typology of Politicians’ Personalized Tweeting Behaviours. En Schwanholz, J.,
Graham, T. y Stoll, PT. (Eds.), Managing Democracy in the
Digital Age: Internet Regulation, Social Media Use, and Online Civic Engagement,
Springer: Berlin.
Heurtin,
J-P. (2003). Architectures morales de l’Assemblée Nationale. En Detienne
M. (Dir.), Qui veut prendre la parole? (pp. 49-81). Paris: EHESS-Seuil.
Iglesias Illa, H. (2016). Cambiamos: Mauricio Macri presidente. Día a día, la
campaña por dentro. Buenos Aires: Sudamericana.
Jungherr,
A. (2016). Twitter use in election campaigns: A systematic literature review. Journal of Information Technology & Politics, 13(1),
72-91.
Leroux,
P. (2005). Réenchanter les campagnes.
Paradoxes et ambiguïtés de l’usage de la proximité. En
Lefebvre, R., Le Bart, Ch. (Dir.), La proximité
en politique. Usages, rhétoriques, pratiques
(pp. 91-102). Rennes: Presses Universitaires
de Rennes.
Le Bart, Ch. (2005). Métier politique et ubiquité : l’art d’être
là. En Lefebvre, R., Le Bart, Ch. (Dir.), La proximité en politique.
Usages, rhétoriques, pratiques (pp. 145-166). Rennes: Presses
Universitaires de Rennes.
Le Bart, Ch. (2013). L'ego-politique.
Essai sur l'individualisation
du champ politique.
Paris: Armand Colin.
Le Bart,
Ch., Lefebvre, R. (2005). Une nouvelle grandeur
politique? En Lefebvre, R., Le Bart, Ch. (Dir.), La proximité en politique. Usages, rhétoriques, pratiques (pp. 11-30). Rennes: Presses
Universitaires de Rennes.
Lucesole, M. J. (1 de septiembre de 2011). La noticia que dejó a Scioli sin
palabras. La Nación. Recuperado de https://www.lanacion.com.ar/1402427-la-noticia-que-dejo-a-scioli-sin-palabras.
Macri ayudó a un chico rosarino a hacer una tarea para la escuela (21 de
junio de 2016). Clarín. Recuperado de
https://www.clarin.com/sociedad/macri-rosarino-hacer-tarea-escuela_0_41bwRXzr-.html.
Macri, M. (28 de abril de 2015). COMIENDO MILANESAS CON SILVINA. Hace
unos días estuve con Silvina en su casa de Resistencia, Chaco. Me invitó por
Facebook a charlar y a comer unas milanesas (estaban
riquísimas!). Ella trabaja durante el día en un centro de salud y de
noche en una pizzería. Además, estudia para ser profesora de psicología. Pero a
pesar de sus días tan ocupados, Silvina se hizo un tiempo para recibirme y
contarme abiertamente su historia, llena de esfuerzo y de esperanzas. Mi agradecimiento
a Silvina por su hospitalidad (y por las riquísimas milanesas). [Estado de
Facebook]. Recuperado de
https://www.facebook.com/mauriciomacri/photos/a.105382683477.113835.55432788477/10153306979983478/?type=3&theater.
Macri, M. (8 de mayo de 2015). ¿Vas a estar en tu casa? [Archivo de
video]. Recuperado de https://www.youtube.com/watch?v=3fVww7cNdBI.
Macri, M. (21 de mayo de 2015). Si viene, yo lo voto. [Archivo de
video]. Recuperado de https://www.youtube.com/watch?v=UfB6yGi514A.
Macri, M. (4 de junio de 2015). CON ANTONIA, TOCANDO TIMBRES. Cada día
somos más los que vamos hasta tu casa para escucharte. Ni Antonia se lo quiere
perder. (Ayer anduvimos por Luján). [Estado de Facebook]. Recuperado de
https://www.facebook.com/mauriciomacri/photos/a.105382683477.113835.55432788477/10153411691693478/?type=1&theater.
Macri, M. (17 de junio de 2015). No podía creeer
que ibas a venir. [Archivo de video]. Recuperado de
https://www.youtube.com/watch?v=M54PT5qpDJU.
Macri, M. (17 de julio de 2015). Estoy con vos: Lanzamiento de campaña
Mauricio Macri Presidente. [Archivo de video].
Recuperado de https://www.youtube.com/watch?v=NjSi98FEDOQ.
Macri, M. (21 de julio de 2015). Con Edelmira en Morón, VAMOS JUNTOS.
[Archivo de video]. Recuperado de https://www.youtube.com/watch?v=esR9QUjn4b.
Macri, M. (21 de julio de 2015). Con Sandra en Corrientes, VAMOS JUNTOS.
[Archivo de video]. Recuperado de https://www.youtube.com/watch?v=__mBNvkRxs8.
Macri, M. (25 de julio de 2015). Con Nicolás en Entre Ríos, VAMOS
JUNTOS. [Archivo de video]. Recuperado de
https://www.youtube.com/watch?v=lnnpanZPRLQ.
Macri, M. (25 de julio de 2015). Una y mil veces, GRACIAS POR INVITARME.
[Archivo de video]. Recuperado de https://www.youtube.com/watch?v=AI5RoxPRO8k.
Macri, M. (24 de septiembre de 2016). MÁS DE UNA DÉCADA TOCANDO TIMBRES.
Un 24 de septiembre hace 11 años hacíamos el primer timbreo. Hoy salimos una
vez más para escuchar sin intermediarios a los argentinos. [Estado de
Facebook]. Recuperado de https://www.facebook.com/mauriciomacri/videos/10154602115918478/.
Macri, M. (7 de noviembre de 2015). ¡Esta es la alegría de lo que se
viene!” [Archivo de video]. Recuperado de
https://www.youtube.com/watch?v=FgceQ1QBM8Q.
Macri, M. (10 de diciembre de 2015). Palabras del Presidente
de la Nación, Mauricio Macri, ante la Asamblea Legislativa en el Congreso de la
Nación. Recuperado de
https://www.casarosada.gob.ar/informacion/discursos/35023-palabras-del-presidente-de-la-nacion-mauricio-macri-ante-la-asamblea-legislativa-en-el-congreso-de-la-nacion.
Macri, M. (4 de marzo de 2016). Los visité en sus casas y ahora ellos me
visitaron a mí. Esta semana nos reencontramos en la Casa Rosada con Ayelén (de
Roque Sáenz Peña), Nicolás (Concepción del Uruguay), Diego y Daniel (Morón),
Viviana (Amaicha del Valle), Sandra (Dolores), Julián
(Gualeguaychú), Carolina (Avellaneda) y Nicolás (Bahía Blanca). Durante la
campaña me abrieron las puertas de sus casas y ahora yo los invité a la Casa
Rosada, que también es suya y de todos los argentinos. Gracias por la visita.
[Estado de Facebook]. Recuperado de
https://www.facebook.com/mauriciomacri/photos/a.105382683477.113835.55432788477/10154030615708478/?type=3&comment_id=492598897531898&comment_tracking=%7B%22tn%22%3A%22R3%22%7D.
Macri, M. (5 de abril de 2016). En la casa de Sandra y Gustavo de Río
Ceballos. En mi paso por Córdoba, visité a Sandra y Gustavo en su casa de Río
Ceballos, donde formaron su familia hace casi 20 años y luego iniciaron su
emprendimiento. ‘Te cuento que soy panadero, tengo 42 años y siento pasión por lo
que hago. Todo empezó como un gran desafío y hoy más de cincuenta familias
viven de este emprendimiento’ me dijo en el mensaje que me escribió en Facebook
para invitarme a conocerlo. Gracias por recibirme!
Foto: selfie sacada por Rocío y Mariano mientras
charlábamos en el living. [Estado de Facebook].
Recuperado de https://www.facebook.com/mauriciomacri/posts/10154138107378478.
Macri, M. (20 de agosto de 2016). Tocando timbres en San Miguel. [Estado
de Facebook]. Recuperado de https://www.facebook.com/mauriciomacri/posts/10154492213628478.
Macri, M. (22 de septiembre de 2016). Recorriendo Pilar en la línea 520
para contarles a los vecinos el plan de renovación de los corredores de
colectivos en el conurbano. [Tuit]. Recuperado de https://twitter.com/mauriciomacri/status/778954812188663810?lang=en.
Macri, M. (24 de septiembre de 2016). Con María Eugenia y Antonia,
tocando timbres en General Las Heras. [Tuit]. Recuperado de
https://twitter.com/mauriciomacri/status/779684985783586816?lang=en.
Macri, M. (22 de octubre de 2016). Tocando timbres y charlando con los
vecinos de Magdalena. [Tuit]. Recuperado de
https://twitter.com/mauriciomacri/status/789844507634327553?lang=en.
Manin, B. (1998).
Los principios del
gobierno representativo. Madrid, Alianza.
Mariot, N. (2005). Réciter des visites pour agréger des soutiens. En Lefebvre, R., Le Bart, Ch. (Dirs.), La proximité
en politique. Usages, rhétoriques, pratiques
(pp. 67-88). Rennes: Presses Universitaires
de Rennes.
Martuccelli, D., Svampa, M. (1997). La plaza
vacía. Las transformaciones del peronismo. Buenos Aires: Losada.
Mattina, G. (2012). Transformaciones de los formatos partidarios en la
democracia argentina: una mirada al PRO desde el ciclo electoral 2011. En Cheresky, I., Annunziata, R. (Comps.),
Sin programa, sin promesa. Liderazgos y procesos electorales
en Argentina (pp. 367-408). Buenos Aires: Prometeo.
Mattina, G. (2015). “De ‘Macri’ a ‘Mauricio’. Una aproximación a los mecanismos
de constitución pública del liderazgo político en la Argentina contemporánea”.
En Vommaro, G., y Morresi, S. (Orgs.).
Hagamos equipo PRO y la construcción de la nueva derecha en
Argentina (pp. 71-109). San Miguel: Universidad Nacional de General
Sarmiento.
Mauricio Macri y la milanesa con ensalada en una visita de campaña a una
joven chaqueña (29 de abril de 2015). La Nación.
Recuperado de
https://www.lanacion.com.ar/1788554-mauricio-macri-y-la-milanesa-con-ensalada-en-una-visita-de-campana-a-una-joven-chaquena.
Nace la moda de los "candidatos delivery"
(25 de septiembre de 2005). La Nación. Recuperado de
https://www.lanacion.com.ar/741804-nace-la-moda-de-los-candidatos-delivery.
Neira Carrión, N. (junio-julio de 2016). Elecciones
2.0: La campaña de los candidatos a la presidencia argentina a través de sus
cuentas oficiales en la red social Twitter. Trabajo presentado en el
VIII Congreso Consejo Europeo de Investigaciones Sociales en América Latina de
CEISAL, Universidad de Salamanca.
Palermo, V., Novaro, M. (1996). Política y poder en el
gobierno de Menem. Buenos Aires: Norma.
Postill,
J., Pink, S. (2012). Social Media Ethnography: The Digital Researcher in a
Messy Web. Media
International Australia, 145(1), 123-134.
Ramírez, I. (septiembre de 2016). Anatomía de un contraste. De la
centralidad gubernamental a la fragmentación. Nueva Sociedad.
Recuperado de http://nuso.org/articulo/anatomia-de-un-contraste.
Riorda, M. (2017). Redes sociales para gobernar. Una mirada de América
Latina. Nueva Sociedad, (269), 89-95.
Rosanvallon, P. (2008).
La légitimité démocratique. Impartialité, réflexivité, proximité. Paris: Seuil.
Rosemberg, J. (12 de enero de 2011). De Narváez quiere ser el
"salvador" de los bonaerenses. La Nación.
Recuperado de:
https://www.lanacion.com.ar/1340793-de-narvaez-quiere-ser-el-salvador-de-los-bonaerenses.
Rosemberg, J. (8 de julio de 2011). Para el final, Macri eligió la música y
vecinos amigables La Nación. Recuperado de
https://www.lanacion.com.ar/1387810-para-el-final-macri-eligio-la-musica-y-vecinos-amigables.
Scioli visitó al viudo de la maestra asesinada en su casa de Derqui (28
de noviembre de 2009). La Nación. Recuperado de
https://www.lanacion.com.ar/1205395-scioli-visito-al-viudo-de-la-maestra-asesinada-en-su-casa-de-derqui.
Sibilia, P. (2008). La intimidad como espectáculo.
Buenos Aires: Fondo de Cultura Económica.
Slimovich, A. (2014). El discurso macrista en Twitter. Un análisis sobre la
campaña para la reelección del Jefe de Gobierno de
Buenos Aires. Revista de Estudios Políticos y Estratégicos, 2(1),
8-27.
Slimovich, A. (2016). Política y redes sociales en Argentina. El caso de los
candidatos presidenciales de 2011 en Twitter. Signo y Pensamiento,
35(68), 86-100.
Slimovich, A. (2017). La ruta digital a la presidencia argentina. Un análisis
político e hipermediático de los discursos de
Mauricio Macri en las redes sociales. Dixit,
(26), 24-43.
Valdez Zepeda, A.; Viramontes Saldívar, J. y Huerta Franco, D. (1 de
diciembre de 2016). El carisma en las campañas electorales. Metapolítica. Recuperado de
https://metapolitica.mx/2016/12/01/el-carisma-en-las-campanas-electorales.
Vommaro,
G., Morresi, S., Belloti,
A. (2015). Mundo PRO.
Un partido fabricado para ganar. Buenos Aires: Planeta.
Weber, M. (2008). Economía y sociedad. Esbozo de
sociología comprensiva. México D. F., Fondo de Cultura Económica (1922).